Chemical Engineering
Numerical Methods - Interpolation
Experiments
Aim
Theory
Pretest
Procedure
Simulation
Posttest
References
Contributors
Feedback
Aim
Theory
Pretest
Procedure
Simulation
Posttest
References
Contributors
Feedback
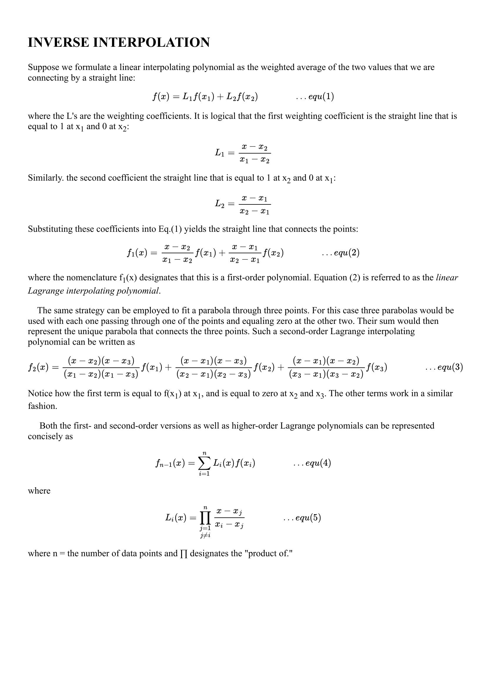
Interpolation: Inverse Interpolation